RC, RL, RCL jadaahelad vahelduvvoolus
| Õpikeskkond: | TalTech Moodle |
| Kursus: | RAA0920 Elektrotehnika ja elektroonika alused (A. Hõbesaar) |
| Raamat: | RC, RL, RCL jadaahelad vahelduvvoolus |
| Printija: | Külaliskasutaja |
| Kuupäev: | teisipäev, 3. veebruar 2026, 15.47 PM |
1. Pool vahelduvvooluahelas
Vaatleme kuidas käitub pool induktiivsusega L vahenduvvooluahelas. Vaatame skeemi, mis on näidatud joonisel.

Vahelduvvvolu korral tekitatakse muutuv magnetväli, mis omakorda tekitab elektromotoorjõu poolis, ehk
(seda nimetatakse eneseinduktsiooni nähtuseks).
- voolu muutumine ajas
L - pooli induktiivsus. Ühik 1 H (henri)
- eneseinduktsioon. Ühik 1 V (volt)
Märk "-" tähendab seda, et muutuva voolu korral poolis indutseeritakse vastassuunaline pinge.
Graafikul kujutame voolu muutmise ajast. Joonistame ainult poolperioodi.

Kolmnurgad graafikul tähendavad voolu muutumist ajas, ehk
väärtust. Joonisel on näha, et voolu i suurenemisel, suhe
väheneb, ja vastupidi. Siit saab teha sellise järelduse:
Vahelduvvoolu korral pinge poolil on voolust 90o
eest.

Vektorite abil saab seda kujutada järgmiselt:

2. Kondensaator vahelduvvooluahelas
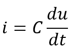
Vaatleme kuidas käitub kondensaator mahtuvusega C vahenduvvooluahelas. Vaatame skeemi, mis on näidatud joonisel.

Voolu ja pinge seos kondensaatori puhul on väljendattav järgmiselt:
, kus
- pinge muutumise kiirus
C - kondensaatori mahtuvus. Ühik 1F (farad)
Pinge muutumise kiiruse saab ka graafiliselt väljendada.

Joonisel on näha, et kui pinge U kasvab, siis väheneb
. Seega väheneb i.
Seega pinge kondensaatoril vahelduvvoolu korral jääb faasilt voolust maha 90o
Vektoritega saab seda kujutada järgmiselt.

3. Vahelduvvoolu RLC - jadaahelad
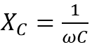
- Mahtuvustakistus - see on kondensaatori takistus:

- Induktiivtakistus - see on pooli takistus:

- Reaktiivtakistus - see on mahtuvustakistus ja induktiivtakistus koos
- Aktiivtakistus - see on takistus R

Voolutugevus skeemis on üks ja sama, kuid toitepinge on võrdne:

Voolu ja pinge leidmiseks kasutatakse potentsialllangude ja voolu vektordiagrammid ning takistuskolmnurka.
Selle raamatu esimesest ja teisest peatükkidest saime aru, et:
- Pingelang poolil on voolust 90o eest
- Pingelang kondensaatoril jääb faasilt voolust maha 90o võrra.
- Aktiivtakisti pinge ja vool on faasi järgi ühtivad.


Z - on ahela kogutakistus

Faasinurk on leitav järgmiselt:

4. Videomaterjalid
23.03 päevaõppes salvestatud videotund