6. Biot’- Svart’i- Laplace’i seadus

6.3. Solenoidi magnetväli

Solenoidi ehk pooli magnetväli koosneb ringvoolude magnetvälja summaga.

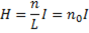
Lõpmata pikas solenoidis tekib ühtlane magnetväli. Väljaspool magnetväljatugevus on praktiliselt võrdne nulliga.

kus no -keerdude arv solenoidi pikkusühikul
L - solenoidi pikkus
n - solenoidi keerude arv
I - voolutugevus juhtmes

Näidisülesanne